在之前的文章中,我介紹了多相 DC-DC 轉換的概念,并解釋了多相降壓穩壓器的關鍵方面。由于單相穩壓器拓撲完全適合眾多低功耗應用,我們需要討論一個重要問題:哪些設計將從多相拓撲中獲益多?
我在本文中的目的是提供有關多相降壓調節優缺點的足夠信息,以幫助您確定何時向多相過渡是有意義的。
經驗法則——何時使用多相 DC-DC 轉換
我不想給人留下我將簡單指南隱藏在技術細節中的印象,因此我將從一個經驗法則開始,以確定哪些設計項目適合多相降壓調節。
這里的基本權衡是高功率性能與成本和復雜性。多相穩壓器需要更多組件和更多設計工作,并且隨著輸出電流接近 20 A 標記,這種額外投資變得合理。與許多閾值一樣,此閾值有些隨意,但它仍然很有用。因此,如果您的穩壓器需要提供超過 20 A 的電流,請考慮多相解決方案。如果您的應用需要 15 A 的輸出電流和非常好的性能(例如,低輸出紋波、增強的瞬態響應),您也可以考慮多相。如果您需要超過 50 A 的電流,一定要考慮使用多相穩壓器,因為您幾乎已經達到了單相的極限。
多相 DC-DC 轉換的缺點
如上所述,多階段監管遵循的模式似乎是大多數人類努力的特征:更多的金錢 + 更多的時間 + 更多的努力 = 更好的結果。選擇多相拓撲結構的主要缺點與電氣行為無關,而是與更多的元件數量和增加的設計復雜性有關。
單相轉換器已經具有單相所需的組件。無法回避的事實是,如果添加相位,就會添加組件,其中相位可以共享輸入和輸出電容,但它們需要自己的電感器和場效應晶體管 (FET)。因此,多相拓撲導致穩壓器電路需要更高的 BOM 成本和可能更大的電路板面積。由于您必須選擇相數,并且不同的設計具有不同的熱和空間限制,因此優化多相實施可能很棘手,可能需要反復試驗。
多相拓撲結構的復雜性增加主要不是由更多的組件數量引起的,而是由于需要管理相位(即平衡相位電流和啟用或禁用相位以響應負載變化)。相位管理依賴于復雜的控制方案,而復雜的控制方案又依賴于相位電流測量反饋回路。您可以在Signal Integrity Journal 發表的這篇論文中閱讀更多關于相位管理電流測量的信息。
多相控制肯定比單相控制更具挑戰性,但老實說,我不認為這是主要障礙。我們可以訪問能夠處理足夠細節的 IC,從而使整個設計過程易于管理。例如,看看圖 1 中的這個圖表。

圖 1. LTC3425 示意圖。圖片由Analog Devices提供
我不懷疑這個芯片內部發生了一些非常復雜的控制,但芯片周圍的電路看起來并不太糟糕。有趣的旁注:該 IC 是多相升壓轉換器。多相調節在降壓應用中更為常見,但請記住,它也可用于升壓應用。
多相 DC-DC 轉換的優點
多相方法的根本好處是減少了每相提供的負載電流,但這種修改會產生各種理想的效果。讓我們探討一下細節。
較低的電容要求
多相架構中相位定時的交錯特性降低了開關輸入電路消耗的(和 RMS)電流。這意味著可以減少輸入電容,同時保持等效的紋波性能。
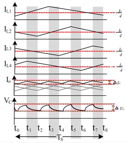
類似的事情發生在輸出端。在上一篇文章中,我們查看了一篇關于為EV 電池充電的多相降壓調節的研究論文中的原理圖和時序圖。看看同一篇論文中的輸出電流圖(圖 2)。

圖 2. 示例電流輸出圖。圖片由 Reyes-Portillo 等人提供
在這種四相拓撲中,每相必須提供所需輸出電流的四分之一,并且輸出紋波在各相之間是一致的。然而,如 IO 圖所示,這些電流的總和具有較低的紋波,因為來自各個相位的電流變化不會同時發生,從而導致部分抵消。如果輸出電流紋波較低,則可以用較少的輸出電容來滿足相同的輸出電壓紋波要求。
瞬態響應
如上所述,特別容易受到負載電流瞬變影響的系統可能是多相調節的良好候選者。正如上一篇文章中所討論的,階段通常是按順序激活的,可能有一些重疊。然而,多相控制器可以同時激活或停用多個相位以響應負載電流的急劇增加或減少。以這種方式控制的相位的作用就好像它們的電感是并聯的,并且由于并聯連接減少了等效電感,阻抗降低,瞬態響應得到改善。
添加和脫落階段
多相的存在允許開關模式控制器通過增加或減少活動相的數量來優化效率。“脫落”階段是指響應低負載電流條件而停用階段的做法。讓我們檢查下圖,圖 3,摘自一篇關于切相技術的碩士論文(即圖 3.1,第 19 頁) 。

圖 3.顯示效率與負載電流的示例圖。圖片由Anagha Rayachoti提供
在低負載電流下,單相可實現效率,但隨著電流增加,效率終會降低,直到系統以兩相更高效地運行。這種模式一直持續到所有階段都處于活動狀態時達到效率。因此,即使由于高負載電流要求而并非嚴格需要多相,多相方法也帶來了提高效率的可能性,尤其是在電流消耗變化很大的系統中。
DC-DC 轉換物鏡
多相 DC-DC 轉換的基本目標是通過將提供負載電流的任務分配給多相來實現更高的輸出電流。然而,我們已經看到多相 DC-DC 穩壓器具有各種其他優勢,即降低電容要求、改善瞬態響應以及在寬輸出電流范圍內提高平均效率。如果您在為特定項目在單相解決方案和多相解決方案之間做出決定時曾經不得不考慮這些影響,那么在下面的評論部分中閱讀您的經驗會很棒。 |