在便攜和可穿戴設備等電池供電的低電壓應用中,常有一些功能需要較高的電壓才能工作,例如射頻收發器、精密模擬電路、白光LED背光驅動、雪崩光電二極管(APD)的偏置電路等。這就需要采用DC-DC升壓轉換器來向上轉換到所需的電壓,讓設備既節能又高效的工作。
升壓穩壓器特點
為滿足低壓應用中的某些特定的較高電壓需求,升壓DC-DC穩壓器將低輸入電壓轉換為高輸出電壓,典型電路組成包括:電感器、功率MOSFET、整流二極管、控制IC、輸入和輸出電容器。

圖 1:基本升壓穩壓器配置
常見的改進型配置一般使用兩個MOSFET,第二個MOSFET替換整流二極管,在電源開關關閉時打開。MOSFET具有較低的電壓降,這大幅減少了功耗,同時提高了穩壓器的效率。
此外,有些穩壓器還帶有保護功能,針對超溫、輸出短路、開路負載條件和輸入過流等情況提供保護。
外圍元器件選擇
轉換效率是衡量DC-DC升壓電路的重要指標,而造成功耗損失的主要是電感的寄生串聯電阻(ESR)、肖特基二極管的正向導通壓降、功率管的導通電阻以及開關損耗這四個方面。當然,芯片本身也有靜態功耗,這在低負載情況下會影響轉換效率,因此要求芯片內部的功率管導通電阻也需非常小。同時,芯片內部要設計合適的驅動電路,保證功率管開關沿很陡,以減小開關時的功耗。
電感和肖特基二極管選擇的不同會影響轉換效率,電容和電感選擇的不同會影響輸出的紋波。選擇合適的電感、電容、肖特基二極管,可以獲得高轉換效率、低紋波、低噪聲。
1、電感選擇
電感器是升壓轉換器的一個關鍵元件:能在電源開關接通期間存儲能量,并在關斷期間將存儲的能量通過輸出整流二極管傳輸至輸出。
設計人員必須在低電感器電流紋波與高效率之間達到平衡。對于給定的物理尺寸,電感較低的電感器會擁有較高的飽和電流和較低的串聯電阻,但較低電感會導致更高的峰值電流,進而使能效降低,紋波增大和噪聲提高。
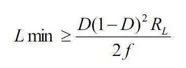
電感器的電感值與最小電感值Lmin、電流紋波等有關。計算具體電感值時,須留意占空比(D)參數,具體大小為:D = (Vout-Vin)/Vout。
第一,要保證使DC-DC升壓能夠在連續電流模式下正常工作所需要的最小電感值Lmin。

該公式是在連續電流模式下,忽略其他諸如寄生電阻、二極管的導通壓降的情況下導出的,實際的值還要大一些。如果電感取值小于Lmin,電感可能會發生磁性飽和,造成DC-DC電路的效率大大下降,甚至不能正常輸出穩定電壓。
第二,考慮到通過電感的電流紋波問題,同樣在連續電流模式下忽略寄生參數,

當L過小時,會造成電感上的電流紋波過大,造成通過電感、肖特基二極管和芯片中的功率管的最大電流過大。由于功率管并不是理想的,所以在特別大的電流時功率管上的功率損耗會加大,導致整個DC-DC電路的轉換效率降低。
第三,一般來說,不考慮效率問題時,小電感可以帶動的負載能力強于大電感。但是由于在相同負載條件下,大電感的電流紋波和最大電流值小,所以大電感可以使得電路在更低的輸入電壓下啟動(以上均是在相同的寄生電阻條件下推導出的結論)。
為了減小外接電感尺寸,可提高工作頻率。例如350KHz工作頻率,只需要3.3uH以上的電感就可以保證正常工作,但是如果輸出端需要輸出大電流(例如:輸出電流大于50mA),為了提高工作效率,建議使用較大電感。
在大負載情況下,電感的串聯電阻會極大地影響轉換效率,假設電感的電阻為rL,負載電阻為Rload,那么在電感的功率損耗大致如下式計算:

綜合考慮,建議使用27uH、
2、輸出電容選擇
輸出電容器可減少負載紋波,幫助在負載瞬態期間提供穩定的輸出電壓。當考慮電容的ESR時,輸出電壓的紋波為:

為了減小輸出的紋波,需要比較大的輸出電容值。但是輸出電容過大,就會使得系統的反應時間過慢,所以建議使用100uF電容。如果需要更小的紋波,則需要更大的電容。
當輸出連接大負載的時候,ESR造成的紋波將成為最主要的因素,同時ESR又會增加效率損耗,降低轉換效率。所以建議使用ESR低的鉭電容,或者多個或X7R陶瓷電容器并聯使用。其他類型的電容器可能具有較高的ESR,會降低轉換器效率。
3、二極管
用于整流二極管對DC-DC效率影響很大,雖然普通的二極管也能夠使得DC-DC電路工作正常,但是會降低5~10%的效率,所以建議使用正向導通電壓低、反應時間短的肖特基二極管,例如1N5817、1N5819、1N5821、1N5822等。
具體參數上,二極管的平均正向額定電流必須等于或高于最大輸出電流,重復峰值正向額定電流必須等于或高于電感器峰值電流,反向擊穿電壓必須高于內部電源開關額定電壓。
例如,MCP1665帶有36V的內部開關,能夠提供高達1A的電流。因此,Microchip建議使用STMicroelectronics供應的STPS2L40VU肖特基二極管,該器件的反向擊穿電壓為40V,正向電流為2A。
4、輸入電容
如果輸入電源穩定,即使沒有輸入濾波電容,DC-DC電路也可以輸出低紋波、低噪聲的電流電壓。但是當電源離DC-DC電路較遠,建議在DC-DC的輸入端加上10uF以上的濾波電容,用于減小輸出的噪聲。
DC-DC升壓穩壓器具有高速開關特征,對PCB布局非常敏感:寄生電感和電容可能導致高輸出紋波、輸出穩壓效果不佳、電磁干擾 (EMI) 過大,甚至因高電壓尖峰而導致故障。因此,外圍元件應靠近IC芯片,接地節點應靠近IC電源接地引腳,以最大程度減小回路面積,電源接地、信號接地和導熱墊也應該在單個低阻抗接地點連接在一起。 |