市場對更大移動性的需求導致傳統有線音頻娛樂產品向無線遷移。由于產品制造商希望切斷娛樂電子產品的電源線,工程師在保持電池供電無線音頻設計的信號范圍、音質和最長播放時間方面面臨著重大挑戰。為滿足這些要求,工程師可以利用來自多家制造商的大量可用產品,包括(按字母順序)Analog Devices、Cirrus Logic、CSR、飛思卡爾半導體、凌力爾特技術、Linx Technologies、Maxim Integrated Products、Microchip Technology、NXP Semiconductors、Quickfilter Technologies 和Texas Instruments等。
在典型的無線娛樂系統(圖 1)中,源信號通過帶有可選范圍擴展器的無線射頻接口傳輸到播放器系統,例如立體聲耳機或揚聲器。在播放器內,相應的無線射頻接口接收信號以供編解碼器、音頻處理器或 DSP 處理,以創建驅動到揚聲器的最終模擬信號。一個適當的電源,通常包括一個電池和充電管理電路,完成了系統。

圖 1:典型的無線音頻系統依賴于發射器和接收器之間可靠的無線通信,
以及接收端的高效音頻處理。(德州儀器提供。)
在創建無線娛樂設計時,工程師面臨著無線通信和音頻處理方面的特殊挑戰。具有高吞吐量和信號完整性的可靠射頻通信對于確保用戶即使在距離音頻源的擴展范圍內也能獲得不間斷的音頻體驗至關重要。同時,強大的音頻信號處理對于保持音頻保真度和提供市場預期的音頻功能范圍至關重要。針對每個子系統的可用集成解決方案可以幫助工程師滿足這些要求,同時降低設計復雜性和成本。
頻帶
遺留問題、市場接受度和未授權帶寬的可用性通常會推動無線電通信頻率的選擇。同時,滿足增加操作范圍和延長電池壽命的要求為有用頻段設置了界限。
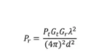
對增加功率的需求是對更遠距離操作的渴望的自然結果,但射頻波長的選擇在平衡范圍和功率方面起著至關重要的作用。射頻波長和范圍之間的關系在 Friis 傳輸方程中進行了描述:

其中
Pt = 發射功率
Pr = 接收功率
Gt = 發射器天線增益
Gr = 接收器天線增益
λ = 波長
d = 發射器和接收器之間的距離
對于統一參數,距離成為波長的簡單線性函數,因此更長波長的無線電通信等同于更大的范圍。當然,更長的波段面臨著包括干擾和有效載荷帶寬在內的問題。在這種情況下,2.4 GHz ISM 頻段在實際范圍限制和有用帶寬之間提供了良好的平衡。
2.4 GHz 解決方案的吸引力在于它們能夠以低功耗提供有用的有效范圍,以及它們的全球可用性。在藍牙等標準中使用的基于跳頻擴頻 (FHSS) 的 2.4 GHz 設計具有在高度活躍的無線電環境中相對不受干擾信號影響的優勢。與較低的 ISM 頻段相比,這些系統還提供足夠的數據帶寬,以允許高質量立體聲的數字傳輸,后者通常僅限于模擬或較低數據速率的數字音頻。
藍牙標準工作頻率為 2.4 GHz,非常適合消費者的連接要求。它的廣泛使用使得基于藍牙的無線音頻播放器很可能會找到兼容的音頻主機,例如計算機、筆記本電腦、平板電腦和智能手機。但是,使用藍牙需要使用經典藍牙或藍牙智能就緒設備支持的數據吞吐率,這些設備以雙模式運行,同時支持經典藍牙和低帶寬藍牙低功耗 (LE)。低功耗藍牙旨在提供來自低功耗設備的短暫數據突發,并非旨在提供經典藍牙支持和無線數字音頻所需的那種持續數據流。
工程師可以通過在嵌入式處理器(例如 Freescale Semiconductor KineTIs系列、Microchip Technology PIC24系列和 Texas Instruments Stellaris系列等)上運行適當配置的藍牙軟件堆棧來實施經典藍牙。這種嵌入式軟件方法提供各種藍牙服務,包括高級音頻分發規范 (A2DP),它提供了流式立體聲音頻的標準。在大多數經典藍牙設備中,A2DP 是一種熟悉的選項,它提供的音頻被大多數聽眾認為是心理聲學上可接受的。
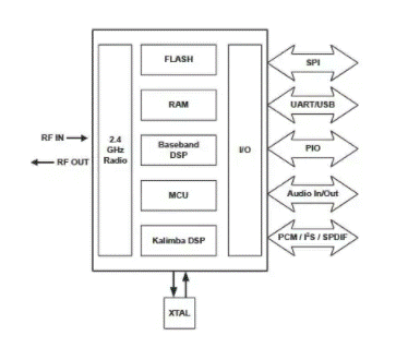
除了通用嵌入式處理器解決方案外,CSR BC57G687C 等專用設備還集成了音頻信號電路,以減少組件數量并提高電源效率。CSR BlueCore5-MulTImedia 系列的成員 BC57G687C 將藍牙堆棧 16 位 RISC MCU 與 Kalimba 64 MIPS 24 位 DSP 協處理器和片上存儲器相結合(圖 2)。該設備的藍牙調制解調器完善了這種無線解決方案。

圖 2:CSR BlueCore5 系列等集成多媒體 SoC 將藍牙無線電功能與無線音頻應用中使用的廣泛片上處理功能相結合。(由 CSR 提供。)
Sub-GHz 替代品
藍牙對用戶和大多數設計人員的普遍性和熟悉性賦予它作為無線音頻解決方案的明顯優勢。然而,旨在支持任意產品之間連接的藍牙等標準在通信中施加了開銷,以確保異構無線節點之間的授權、可靠通信。對于尋求更大范圍或更大音頻吞吐量的工程師來說,其他選項具有自己的優勢。
雖然首選通常是 2.4 或 5.8 GHz ISM 頻段,但 sub-GHz 頻段仍然是一個可行的選擇。調制技術的改進增強了抗干擾能力,緩解了早期 sub-GHz 方法中存在的共存問題。最重要的是,使用 sub-GHz ISM 頻段意味著更寬的范圍和更低的功率要求,這兩者當然是無線音頻設計的核心問題。
正如 Friis 方程所示,低頻信號轉化為相應更長的范圍。鑒于此,sub-GHz 無線通信對于最大范圍是首要關注且音頻要求不那么密集的應用仍然具有吸引力。
例如,Linx Technologies 引用其TXM-900-HP3之間的通信距離為 1,000 英尺。發射器模塊和RXM-900-HP3接收器模塊。這些模塊設計為無線應用的嵌入式解決方案,只需一根天線即可完成能夠傳輸模擬 FM 和數字 FSK 信息的 900 MHz 多通道射頻設計。TXM-900-HP3 發射器使用其精密的 12 MHz 壓控晶體振蕩器 (VCXO) 來驅動 PLL,以形成由板載微控制器管理的頻率合成器,從而允許基于軟件的通道選擇(圖 3)。RXM-900-HP3 中的互補接收器模塊解調信號以提供模擬和數字數據,以及可用于用戶范圍顯示指示器的 RSSI 值。

圖 3:TXM-900-HP3 發射器信號路徑使用 MCU 控制的 PLL 在 900 MHz 頻帶中提供軟件控制的通道選擇。(由 Linx Technologies 提供。)
工程師還可以找到各種 RF IC 來構建在 900 MHz 頻段運行的定制無線音頻解決方案。例如,ADI公司的ADF7025是一款 ISM 收發器 IC,可在包括 900 MHz ISM 頻段在內的多個頻段中運行。ADF7025 包括一個片上 ADC,無需單獨的 ADC 即可采集溫度、電池狀態或 RSSI 等基本數據。因此,該設備只需要很少的外部組件即可提供具有成本效益的解決方案。此外,工程師可以調整設備以平衡功率和靈敏度要求。ADF7025 的信號鏈包括接收器線性度、靈敏度和濾波器帶寬的多個可編程選項(圖 4)。

圖 4:工程師可以在 ADF7025 前端設置多個可編程選項,以權衡對功率、線性度、靈敏度和濾波器帶寬的要求。(由 Analog Devices 提供。)
專有的 2.4-GHz 解決方案
雖然經典藍牙無處不在,sub-GHz 提供擴展范圍,但使用 2.4 GHz ISM 和專有通信協議為在可接受的范圍和功率下獲得最高質量的多通道音頻打開了大門。憑借其輕量級、特定于應用程序的堆棧,專有協議可減少開銷并為有效負載節省最大帶寬。另一方面,專有協議也意味著主機也需要橋接設備。然而,對于無線音頻系統,專門的橋接設備可以簡單地內置到播放器設備和主機“控制臺”單元中,例如,在任何情況下,它都可以用于揚聲器狀態的用戶顯示。
德州儀器 PurePath 無線平臺專為高質量多通道音頻的無線流式傳輸而設計,在其收發器和范圍擴展器組中使用了這種專有方法。TI PurePath 器件包括兩通道CC8520和四通道CC8530以及CC8521和CC8531版本,它們還提供 USB 音頻支持。CC85xx SoC 集成了從 RF 到數字輸出的完整信號路徑,使工程師能夠用很少的附加組件構建無線音頻設計(圖 5)。

圖 5:在 TI PurePath 平臺中,CC85xx 器件為無線多通道數字音頻提供單芯片解決方案。工程師可以通過附加芯片來擴大范圍和音質,以進行范圍擴展和音頻處理。(德州儀器提供。)
PurePath 系統充分利用專有協議的靈活性來提供 16 位 44.1 或 48 kHz 未壓縮音頻,不會產生不必要的噪音或丟失。為了防止射頻干擾或多路徑衰落效應造成的音頻問題,該系統允許工程師將每個單獨采樣率的音頻延遲配置為 768 到 2,048 個樣本之間的值。這種音頻延遲會導致音頻流中的系統延遲,從而允許識別和重新傳輸無法通過系統內置插值算法糾正的數據。
除了自適應的先聽后說機制外,PurePath 平臺還使用專有的跳頻方案來增強系統在活動環境中與其他 2.4 GHz 信號源共存的能力。通過這種方案,片上控制器可以在幾十毫秒內動態切換到更清晰的射頻通道。在這種方法中,設備將 2.4 GHz 頻段分成 18 個射頻通道,隨時使用四個最佳通道進行主動傳輸。在使用四個活動通道的實際傳輸過程中,設備還會掃描 14 個不活動通道中的每一個,計算每個通道的服務質量 (QoS) 估計值,并將任何活動通道替換為顯示更高 QoS 的任何通道。
為了進一步提高信號質量和范圍,工程師可以利用 CC85xx 的天線分集功能。在這里,該設備使用外部天線開關在兩個天線之間動態切換,以減少多徑衰落效應。此外,工程師可以在可選的CC2590范圍擴展器中進行設計,其中包括一個用于更高發射器輸出的 PA 和一個用于更高接收器靈敏度的 LNA。
除了相關軟件,PurePath 平臺還包括 PurePath Wireless Configurator,這是一種基于 PC 的免費軟件工具,用于配置設備的操作參數。TI 還提供 USB 加密狗參考設計(適用于 CC85x1),以及使用 465 mAh 電池實現 22 小時使用壽命的無線耳機參考設計。
音頻處理器
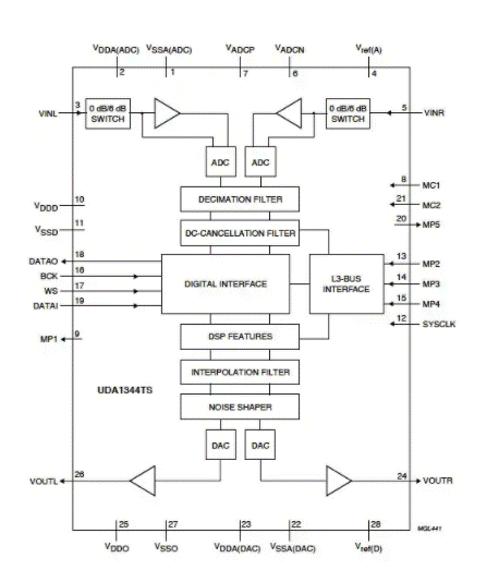
為了增強音頻效果和音質,無線音頻系統的最后階段通常需要一定量的信號處理。在這里,工程師可以選擇從相對簡單的編解碼器設備到完整的音頻處理 SoC 的各種設備。Analog Devices AD1835A、Cirrus Logic CS4265、NXP UDA1344TS和 Texas Instruments TLV320AIC3204等編解碼器可為各種音頻通道和采樣率提供低功耗信號處理和音頻效果。例如,NXP UDA1344TS 音頻處理管道(圖 6)支持多種播放功能,包括去加重、音量控制、低音增強、高音和軟靜音。

圖 6:NXP UDA1344TS 等音頻編解碼器提供豐富的信號處理功能,支持高音、低音和音量控制等基本音頻功能。(由 NXP Semiconductors 提供。)
對于更廣泛的信號處理和特殊音頻效果,工程師可以集成音頻處理器,例如 Analog Devices ADAU1702、Cirrus Logic CS47048和 Quickfilter QF3DFX,等等。此類設備提供完整的片上音頻系統解決方案,帶有高分辨率 ADC、DAC、DSP 和控制器。例如,Quickfilter QF3DFX 音頻處理器 SoC 提供了一個全面的音頻處理管道(圖 7),使音頻工程師能夠支持從高頻恢復 (HFR) 到空間效果和虛擬低音效果的各種心理聲學效果。QF3DFX 能夠在沒有微控制器的情況下運行,可自啟動,并且通過在不存在音頻時關閉電源來幫助節省電池操作系統的電量,待機模式下僅需要約 50 µW。

圖 7:Quickfilter QF3DFX 等高級音頻處理 SoC 提供專門的音頻處理功能,以提供更復雜的心理聲學效果,例如高頻恢復、空間效果和虛擬低音。(由 Quickfilter Technologies 提供。)
電池管理
在任何由電池供電的低壓設計中,對電池故障(包括欠壓、過流和過熱)的保護對于系統運行和產品壽命都至關重要。對于無線音頻設備而言,延長電池壽命對消費者滿意度至關重要,電池充電管理起著關鍵作用。
工程師可以在電池充電管理設備中找到廣泛的功能和選項,包括 Analog Devices ADP2291、凌力爾特LTC1734和 Maxim Integrated Products的MAX1501等眾多替代產品。
此類設備可用作恒流/恒壓充電控制器,并提供大量附加功能。Analog Devices ADP2291 支持從深度放電到涓流充電的多步充電模式,具有全方位的保護功能,包括在檢測到電池故障時停止充電模式。凌力爾特 LTC1734 不僅可以直接為鋰離子電池充電,還可以用作為鎳鎘 (NiCd) 和鎳氫 (NiMH) 電池充電的電流源,并且在停機和睡眠模式下,功耗接近于零。 Maxim MAX1501 集成了典型的電流檢測電阻、傳輸晶體管和熱調節電路,為鋰離子、鎳鎘和鎳氫電池充電提供了一個非常簡單的解決方案(圖 8)。

圖 8:Maxim MAX1501 等電池充電 IC 只需很少的組件即可為鋰離子、NiCd 和 NiMH 電池實現高效充電解決方案。對于此設備,只需簡單更改引腳連接即可支持 NiCd 和 NiMH 電池。(由 Maxim Integrated Products 提供。)
結論
對于消費者來說,便攜產品的工作范圍和延長電池使用時間只是給定的,而在更短的范圍內或在比預期更短的時間內停止播放的無線音頻產品很快就會發現自己在退貨貨架上。對于工程師而言,在提供最大工作范圍和延長播放時間的同時滿足音頻功能要求是一項持續的挑戰。解決這些問題需要優化頻帶、通信協議和音頻處理能力。幸運的是,各種 IC 器件和嵌入式模塊提供了有效滿足無線通信、音頻處理和電池管理要求的必要構建塊。 |