憑借使用壽命長和功耗低的優勢,LED有望改變整個照明行業,但它的快速采用面臨的主要障礙是LED本身的成本居高不下。LED燈具(完整電力照明設備)的成本各不相同,但LED的成本通常占據了整個燈具成本的大約25%至40%,而且預期在今后多年內仍會占據很高比例(圖1)。

圖1. LED燈具成本的細分1
降低整體燈具成本的一種方法是在產品規格允許的范圍內,在可能最高的直流電流下驅動LED。此電流可能遠高于其“分檔電流”。如果正常驅動,這樣可能產生更高的流明/成本比率。

圖2. LED光輸出和效率與驅動電流2
但是,這種做法需要更高電流驅動器。很多解決方案在低電流下(<500mA)驅動LED,但很少有高電流(700mA至4A)的選擇方案。這一現象似乎令人驚訝,因為半導體行業有大量的容量達到4A的DC-DC解決方案,但它們的設計目的是控制 電壓, 而不是控制LED電流。本文將探討將現成DC-DC降壓穩壓器轉換為智能LED驅動器的一些簡單技巧。
降壓穩壓器對輸入電壓進行斬波,并通過LC濾波器傳送,以提供穩定的輸出,如圖3所示。它使用兩個有源元件和兩個無源元件。有源元件是從輸入到電感的開關“A”,以及從地面到電感的開關(或二極管)“B”。無源元件是電感(L)和輸出電容(COUT)它們形成LC濾波器,可以減小由有源元件產生的紋波。

圖3. 基本降壓方案
如果開關是內部的,則降壓器稱為穩壓器,如果開關是外部的,則稱為控制器。如果兩個開關都是晶體管(MOSFET或BJT),則它是同步的,如果底部的開關是使用二極管實施的,則它是異步的。這些類型的降壓電路各有優劣,但同步降壓穩壓器通常可以優化效率、器件數量、解決方案成本和電路板面積。遺憾的是,用于驅動高電流LED(高達4A)的同步降壓穩壓器很少,而且成本昂貴。本文以ADP2384為例,展示如何修改標準同步降壓穩壓器的連接以調節LED電流。
ADP2384高效同步降壓穩壓器指定最高4 A的輸出電流,具有最高20 V的輸入電壓。圖4顯示了用于調節輸出電壓的正常連接。

圖4. 連接用于調節輸出電壓的ADP2384
在工作中,經過分壓的輸出電壓連接到FB引腳,與內部600 mV基準進行比較,用于生成開關的適當占空比。在穩態下,FB引腳保持在600 mV,因此VOUT調節至600 mV乘以分頻比。如果上方的電阻被LED取代(圖5),則輸出電壓必須是需要的任何值(在額定值范圍內),將FB維持在600 mV;因此,通過LED的電流被控制在600 mV/RSENSE。

圖5. 基本(但不高效的LED驅動器
當從FB到地面的精密電阻設置LED電流時,此電路使用效果很好,但電阻消耗了很多功率: P = 600 mV × ILED對于低LED電流,這不是大問題,但在高LED電流下,低效率會大幅增加燈具散發的熱量(600 mV × 4 A = 2.4 W)。降低FB基準電壓可以成比例降低功耗,但大多數DC-DC穩壓器沒有調節此基準的方式。幸運的是,兩個技巧可降低大多數降壓穩壓器的基準電壓:使用SS/TRK引腳—或偏移RSENSE電壓。
很多通用降壓IC包括軟啟動(SS)或跟蹤(TRK)引腳。SS引腳可緩慢增加啟動時的開關占空比,從而最大程度地減小啟動瞬變。TRK引腳讓降壓穩壓器能夠遵循獨立電壓。這些功能通常結合到單個SS/TRK引腳上。大多數情況下,誤差放大器將SS、TRK和FB電壓中的最小值與基準進行比較,如圖6所示。

圖6. 使用ADP2384的軟啟動引腳工作
對于燈具應用,將SS/TRK引腳設置為固定電壓,并將其用作新的FB基準。恒壓分壓器充當基準電壓源非常有效。例如,很多降壓穩壓器IC包括受控低壓輸出—如ADP2384上的VREG引腳。為了達到更高精度,可以使用簡單的2引腳外部精密基準電壓源,例如ADR5040。在任何情況下,從該電源到SS/TRK引腳的電阻分壓器形成新的基準電壓源。將此電壓設置在100 mV和200 mV之間,通常可以提供功耗和LED電流精度之間的最佳平衡。用戶選擇的基準電壓的另一個優點是RSENSE可以選擇方便的標準值,從而避免指定或分配任意精密電阻值來設置LED電流的開支和不精確性。

圖7. 使用SS/TRK引腳以降低FB基準電壓
使用SS或TRK引腳方法并非對于所有降壓穩壓器都是可行的,因為有些IC沒有這些引腳。另外,對于某些降壓IC,SS引腳會改變峰值電感電流,而不是FB基準,因此必須仔細查看產品數據手冊。作為一種替代方法,可以產生RSENSE電壓偏移。例如,精密電壓源和RSENSE之間的電阻分壓器提供從RSENSE到FB引腳的相當恒定的偏移電壓(圖8)。

圖8. 產生RSENSE電壓偏移
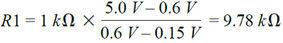
電阻分壓器的必需值可以使用公式1計算,其中VSUP是輔助調節電壓, FBREF(NEW)是RSENSE兩端的目標電壓。

因此,可使用以下公式獲取150 mV的有效反饋基準,其中R2 = 1 kΩ,VSUP= 5 V:

LED電流為:

這種方法不需要SS或TRK引腳。FB引腳仍然調節至600 mV(但RSENSE的電壓調節至FBREF(NEW))。這意味著芯片的其他功能(包括軟啟動、跟蹤和電源良好指示)仍將正常運行。
這種方法的缺點是RSENSE和FB之間的偏移受到電源精度的嚴重影響。使用ADR5040等精密基準電壓源可能是理想的,但不太精確的±5%基準容差可能在LED電流上產生±12%的變化。
精確電流調節的另一個關鍵是適當布局連接至檢測電阻。4引腳檢測電阻是理想之選,但可能成本比較昂貴。借助良好的布局技術,我們可以使用傳統的2引腳電阻實現高精度,如圖9所示。4

圖9.RSENSE的建議PCB走線路徑
除調節之外的功能
使用現成的降壓穩壓器調節LED電流非常簡單。此處的示例采用了ADP2384。更加詳盡的論文還包括使用 ADP2441的示例,該器件的引腳較少,具有36 V輸入電壓范圍。該文顯示了一些示例,展示如何實施專用LED降壓穩壓器提供的很多“智能”功能,例如LED短路/開路故障保護、RSENSE開路/短路故障保護、PWM調光、模擬調光和電流折返熱保護。我們在本文中將使用上例中的ADP2384,討論PWM和模擬調光、電流折返。
使用PWM和模擬控制進行調光
“智能”LED驅動器的一個關鍵要求是使用 調光制來調節LED亮度,采用以下兩種方法之一:PWM和模擬。PWM調光通過調節脈沖占空比來控制LED電流。如果頻率高于120 Hz,人眼會均衡這些脈沖,以產生可感知的平均光度。模擬調光可在恒定直流值下調節LED電流。
可通過打開和關閉與RSENSE串聯插入的NMOS開關,實施PWM調光。這些電流水平可能需要功率器件,但添加功率器件會抵消通過使用包含自身電源開關的降壓穩壓器獲得的大小和成本益處。或者,可以通過快速打開和關閉穩壓器來執行PWM調光。在低PWM頻率下(<1 kHz),這樣仍然可以提供良好的精度(圖10)。

圖10. ADP2384 PWM調光線性度—200 Hz下的輸出電流與占空比
與所有通用降壓穩壓器相同,ADP2384沒有針腳來應用PWM調光輸入,但可以操控FB引腳以啟用和禁用開關。如果FB變為高電平,則誤差放大器變為低電平,降壓開關停止。如果FB重新連接到RSENSE則它將恢復正常調節。這可以通過低電流NMOS晶體管或通用二極管實現。在圖11中,高PWM信號將RSENSE連接到FB,實現LED調節。低PWM信號關閉NMOS,有一個上拉電阻將FB電平變為高電平。

圖11. 使用ADP2384進行PWM調光
雖然PWM調光非常流行,但有時我們需要無噪聲的“模擬”調光。模擬調光只是調節恒定LED電流,而PWM調光則進行斬波。如果使用兩個調光輸入,則需要模擬調光,因為多個PWM調光信號可能產生拍頻,導致閃爍或聲頻噪聲。但是,可將PWM用于一個調光控制,而將模擬用于另一個調光控制。使用通用降壓穩壓器,實施模擬調光的最簡單方法是通過調節FB基準電路的電源,控制FB基準,如圖12所示。

圖12. 模擬調光電路
熱折返
由于LED的使用壽命在很大程度上取決于其工作結溫,有時必須監控LED溫度,如果溫度過高,必須做出響應。導致異常高溫的原因可能是散熱器連接不當、周邊溫度過熱或其他一些極端條件。常見解決方案是在當溫度超過某個閾值時減小LED電流(圖13)。這稱為LED 熱折返。

圖13. 需要的LED熱折返曲線
在這種類型的調光中,LED保持在滿載電流,直至到達溫度閾值(T1),在這個閾值之上,LED電流隨溫度升高開始降低。這樣可以限制LED的結溫,保持它們的使用壽命。低成本NTC(負溫度系數)電阻通常用于測量LED的散熱器溫度。通過對模擬調光方案進行細微修改,NTC的溫度可以輕松控制LED電流。如果SS/TRK引腳用于控制FB基準,則可以使用一種簡單方法,將NTC與基準電壓并聯放置(圖14)。

圖14. 使用SS/TRK的LED熱折返
隨著散熱器溫度升高,NTC電阻下降。NTC形成R3的電阻分壓器。如果分壓器的電壓高于基準電壓,則輸出最大電流;如果NTC電阻電壓降低到基準電壓之下,然后降低到FB基準電壓之下,則LED電流開始下降。
結論
這些技巧應該作為使用標準降壓穩壓器實施全面LED功能的一般指導準則。但是,由于這些功能有一點超出降壓IC的目標應用范圍,因此您最好聯系半導體制造商,確認IC能夠處理這些工作模式。

圖1. LED燈具成本的細分1
降低整體燈具成本的一種方法是在產品規格允許的范圍內,在可能最高的直流電流下驅動LED。此電流可能遠高于其“分檔電流”。如果正常驅動,這樣可能產生更高的流明/成本比率。

圖2. LED光輸出和效率與驅動電流2
但是,這種做法需要更高電流驅動器。很多解決方案在低電流下(<500mA)驅動LED,但很少有高電流(700mA至4A)的選擇方案。這一現象似乎令人驚訝,因為半導體行業有大量的容量達到4A的DC-DC解決方案,但它們的設計目的是控制 電壓, 而不是控制LED電流。本文將探討將現成DC-DC降壓穩壓器轉換為智能LED驅動器的一些簡單技巧。
降壓穩壓器對輸入電壓進行斬波,并通過LC濾波器傳送,以提供穩定的輸出,如圖3所示。它使用兩個有源元件和兩個無源元件。有源元件是從輸入到電感的開關“A”,以及從地面到電感的開關(或二極管)“B”。無源元件是電感(L)和輸出電容(COUT)它們形成LC濾波器,可以減小由有源元件產生的紋波。

圖3. 基本降壓方案
如果開關是內部的,則降壓器稱為穩壓器,如果開關是外部的,則稱為控制器。如果兩個開關都是晶體管(MOSFET或BJT),則它是同步的,如果底部的開關是使用二極管實施的,則它是異步的。這些類型的降壓電路各有優劣,但同步降壓穩壓器通常可以優化效率、器件數量、解決方案成本和電路板面積。遺憾的是,用于驅動高電流LED(高達4A)的同步降壓穩壓器很少,而且成本昂貴。本文以ADP2384為例,展示如何修改標準同步降壓穩壓器的連接以調節LED電流。
ADP2384高效同步降壓穩壓器指定最高4 A的輸出電流,具有最高20 V的輸入電壓。圖4顯示了用于調節輸出電壓的正常連接。

圖4. 連接用于調節輸出電壓的ADP2384
在工作中,經過分壓的輸出電壓連接到FB引腳,與內部600 mV基準進行比較,用于生成開關的適當占空比。在穩態下,FB引腳保持在600 mV,因此VOUT調節至600 mV乘以分頻比。如果上方的電阻被LED取代(圖5),則輸出電壓必須是需要的任何值(在額定值范圍內),將FB維持在600 mV;因此,通過LED的電流被控制在600 mV/RSENSE。

圖5. 基本(但不高效的LED驅動器
當從FB到地面的精密電阻設置LED電流時,此電路使用效果很好,但電阻消耗了很多功率: P = 600 mV × ILED對于低LED電流,這不是大問題,但在高LED電流下,低效率會大幅增加燈具散發的熱量(600 mV × 4 A = 2.4 W)。降低FB基準電壓可以成比例降低功耗,但大多數DC-DC穩壓器沒有調節此基準的方式。幸運的是,兩個技巧可降低大多數降壓穩壓器的基準電壓:使用SS/TRK引腳—或偏移RSENSE電壓。
很多通用降壓IC包括軟啟動(SS)或跟蹤(TRK)引腳。SS引腳可緩慢增加啟動時的開關占空比,從而最大程度地減小啟動瞬變。TRK引腳讓降壓穩壓器能夠遵循獨立電壓。這些功能通常結合到單個SS/TRK引腳上。大多數情況下,誤差放大器將SS、TRK和FB電壓中的最小值與基準進行比較,如圖6所示。

圖6. 使用ADP2384的軟啟動引腳工作
對于燈具應用,將SS/TRK引腳設置為固定電壓,并將其用作新的FB基準。恒壓分壓器充當基準電壓源非常有效。例如,很多降壓穩壓器IC包括受控低壓輸出—如ADP2384上的VREG引腳。為了達到更高精度,可以使用簡單的2引腳外部精密基準電壓源,例如ADR5040。在任何情況下,從該電源到SS/TRK引腳的電阻分壓器形成新的基準電壓源。將此電壓設置在100 mV和200 mV之間,通常可以提供功耗和LED電流精度之間的最佳平衡。用戶選擇的基準電壓的另一個優點是RSENSE可以選擇方便的標準值,從而避免指定或分配任意精密電阻值來設置LED電流的開支和不精確性。

圖7. 使用SS/TRK引腳以降低FB基準電壓
使用SS或TRK引腳方法并非對于所有降壓穩壓器都是可行的,因為有些IC沒有這些引腳。另外,對于某些降壓IC,SS引腳會改變峰值電感電流,而不是FB基準,因此必須仔細查看產品數據手冊。作為一種替代方法,可以產生RSENSE電壓偏移。例如,精密電壓源和RSENSE之間的電阻分壓器提供從RSENSE到FB引腳的相當恒定的偏移電壓(圖8)。

圖8. 產生RSENSE電壓偏移
電阻分壓器的必需值可以使用公式1計算,其中VSUP是輔助調節電壓, FBREF(NEW)是RSENSE兩端的目標電壓。

因此,可使用以下公式獲取150 mV的有效反饋基準,其中R2 = 1 kΩ,VSUP= 5 V:
LED電流為:

這種方法不需要SS或TRK引腳。FB引腳仍然調節至600 mV(但RSENSE的電壓調節至FBREF(NEW))。這意味著芯片的其他功能(包括軟啟動、跟蹤和電源良好指示)仍將正常運行。
這種方法的缺點是RSENSE和FB之間的偏移受到電源精度的嚴重影響。使用ADR5040等精密基準電壓源可能是理想的,但不太精確的±5%基準容差可能在LED電流上產生±12%的變化。
精確電流調節的另一個關鍵是適當布局連接至檢測電阻。4引腳檢測電阻是理想之選,但可能成本比較昂貴。借助良好的布局技術,我們可以使用傳統的2引腳電阻實現高精度,如圖9所示。4

圖9.RSENSE的建議PCB走線路徑
除調節之外的功能
使用現成的降壓穩壓器調節LED電流非常簡單。此處的示例采用了ADP2384。更加詳盡的論文還包括使用 ADP2441的示例,該器件的引腳較少,具有36 V輸入電壓范圍。該文顯示了一些示例,展示如何實施專用LED降壓穩壓器提供的很多“智能”功能,例如LED短路/開路故障保護、RSENSE開路/短路故障保護、PWM調光、模擬調光和電流折返熱保護。我們在本文中將使用上例中的ADP2384,討論PWM和模擬調光、電流折返。
使用PWM和模擬控制進行調光
“智能”LED驅動器的一個關鍵要求是使用 調光制來調節LED亮度,采用以下兩種方法之一:PWM和模擬。PWM調光通過調節脈沖占空比來控制LED電流。如果頻率高于120 Hz,人眼會均衡這些脈沖,以產生可感知的平均光度。模擬調光可在恒定直流值下調節LED電流。
可通過打開和關閉與RSENSE串聯插入的NMOS開關,實施PWM調光。這些電流水平可能需要功率器件,但添加功率器件會抵消通過使用包含自身電源開關的降壓穩壓器獲得的大小和成本益處。或者,可以通過快速打開和關閉穩壓器來執行PWM調光。在低PWM頻率下(<1 kHz),這樣仍然可以提供良好的精度(圖10)。

圖10. ADP2384 PWM調光線性度—200 Hz下的輸出電流與占空比
與所有通用降壓穩壓器相同,ADP2384沒有針腳來應用PWM調光輸入,但可以操控FB引腳以啟用和禁用開關。如果FB變為高電平,則誤差放大器變為低電平,降壓開關停止。如果FB重新連接到RSENSE則它將恢復正常調節。這可以通過低電流NMOS晶體管或通用二極管實現。在圖11中,高PWM信號將RSENSE連接到FB,實現LED調節。低PWM信號關閉NMOS,有一個上拉電阻將FB電平變為高電平。

圖11. 使用ADP2384進行PWM調光
雖然PWM調光非常流行,但有時我們需要無噪聲的“模擬”調光。模擬調光只是調節恒定LED電流,而PWM調光則進行斬波。如果使用兩個調光輸入,則需要模擬調光,因為多個PWM調光信號可能產生拍頻,導致閃爍或聲頻噪聲。但是,可將PWM用于一個調光控制,而將模擬用于另一個調光控制。使用通用降壓穩壓器,實施模擬調光的最簡單方法是通過調節FB基準電路的電源,控制FB基準,如圖12所示。

圖12. 模擬調光電路
熱折返
由于LED的使用壽命在很大程度上取決于其工作結溫,有時必須監控LED溫度,如果溫度過高,必須做出響應。導致異常高溫的原因可能是散熱器連接不當、周邊溫度過熱或其他一些極端條件。常見解決方案是在當溫度超過某個閾值時減小LED電流(圖13)。這稱為LED 熱折返。

圖13. 需要的LED熱折返曲線
在這種類型的調光中,LED保持在滿載電流,直至到達溫度閾值(T1),在這個閾值之上,LED電流隨溫度升高開始降低。這樣可以限制LED的結溫,保持它們的使用壽命。低成本NTC(負溫度系數)電阻通常用于測量LED的散熱器溫度。通過對模擬調光方案進行細微修改,NTC的溫度可以輕松控制LED電流。如果SS/TRK引腳用于控制FB基準,則可以使用一種簡單方法,將NTC與基準電壓并聯放置(圖14)。

圖14. 使用SS/TRK的LED熱折返
隨著散熱器溫度升高,NTC電阻下降。NTC形成R3的電阻分壓器。如果分壓器的電壓高于基準電壓,則輸出最大電流;如果NTC電阻電壓降低到基準電壓之下,然后降低到FB基準電壓之下,則LED電流開始下降。
結論
這些技巧應該作為使用標準降壓穩壓器實施全面LED功能的一般指導準則。但是,由于這些功能有一點超出降壓IC的目標應用范圍,因此您最好聯系半導體制造商,確認IC能夠處理這些工作模式。




