為了實現電流的雙向流動,通常采用背靠背串聯MOSFET的方式,形成一個雙向開關。本文將分析背靠背MOSFET的工作原理,并探討其在雙向電流控制中的應用。
一、背靠背串聯MOSFET的雙向導通原理
MOSFET本質上是一個單向導通的開關,源極與漏極之間的電流只能沿著“漏極 → 源極”方向流動,而體二極管則決定了其反向特性。為了實現雙向導通和雙向阻斷,需要采用兩個MOSFET背靠背串聯的方式來構建一個完整的雙向開關。
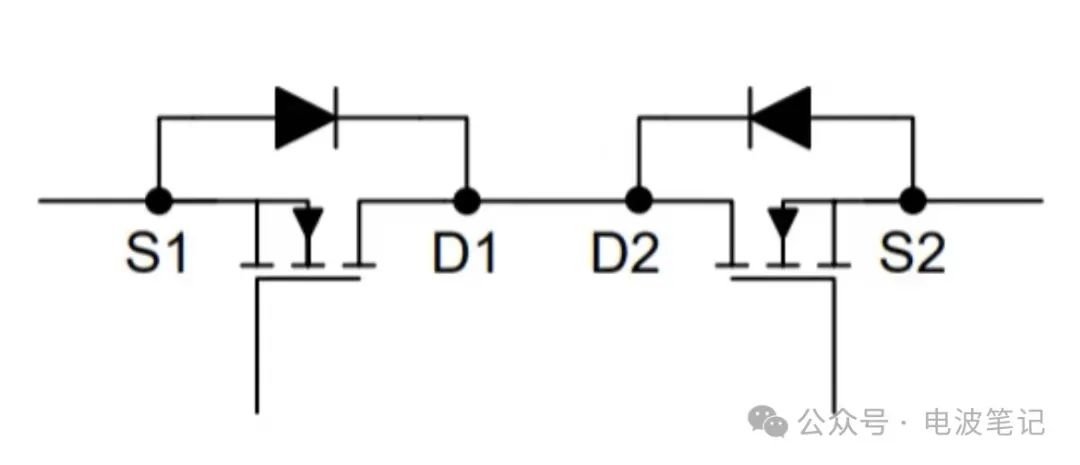
背靠背串聯MOSFET的基本結構如下:

其中,兩個MOSFET的漏極(Drain)或者源極(Source)相連,形成一個對稱的雙向開關結構。根據連接方式,常見的背靠背MOSFET拓撲有以下兩種形式:
共漏極(Common Drain)結構:
源極分別連接到輸入和輸出端,漏極相互連接。
適用于高壓阻斷場景。
共源極(Common Source)結構:
漏極分別連接到輸入和輸出端,源極相互連接。
適用于低壓高頻開關應用。
雙向導通的工作機制
在雙向導通模式下,兩個MOSFET都需要導通,以允許電流在任意方向流動。設兩個MOSFET分別為 Q1 和 Q2,柵極控制信號為 G1 和 G2。當兩個MOSFET的柵極同時施加足夠的驅動電壓(Vgs > Vth,通常10V以上),兩者均進入導通狀態,實現雙向導電。
正向電流(從左到右):MOSFET Q1 的漏極 → 源極導通,同時Q2 的體二極管也可導通,從而允許電流流動。
反向電流(從右到左):MOSFET Q2 的漏極 → 源極導通,同時Q1 的體二極管導通,電流方向與正向相反。
雙向阻斷的工作機制
當兩個MOSFET的柵極信號均為低電平(Vgs < Vth),MOSFET進入關斷狀態。由于兩個MOSFET的體二極管是相反方向的,任何方向的電流都無法導通,從而形成雙向阻斷狀態。
如此,關斷時可同時阻斷正反兩個方向的電壓,提高系統安全性。
二、背靠背MOSFET的典型應用
2.1AC開關電路
在AC電源控制應用中,由于電流是交流信號,需要能夠控制雙向電流的開關。因此,傳統的單向MOSFET無法直接用于AC開關,而背靠背串聯MOSFET則能夠有效實現AC電流的開關控制。例如:
固態繼電器(SSR):利用背靠背MOSFET實現無觸點電子開關,提高開關壽命和可靠性。
交流電壓調節器:用于調節交流負載電壓,如LED驅動和智能電網系統。
2.2電池管理系統(BMS)
在電池保護電路中,電流可能會雙向流動。例如,在充電模式下,電流從充電器流入電池;而在放電模式下,電流從電池流向負載。
背靠背MOSFET用于充放電控制,可確保充放電路徑的完全隔離,避免反向充電導致的安全問題。
2.3 雙向DC-DC變換器
在新能源系統(如電動汽車、光伏儲能系統)中,雙向DC-DC變換器需要在充放電之間切換,而背靠背MOSFET可以有效控制雙向能量流動,提高系統能效。例如:
電動汽車充放電:車輛在充電時,電流流向電池;而在V2G(Vehicle-to-Grid)模式下,電池電流需要反向流回電網,背靠背MOSFET可實現高效的雙向轉換。
背靠背串聯MOSFET是一種高效的雙向開關方案,廣泛應用于AC控制、電池管理、雙向DC-DC變換器等領域。其基本原理是利用兩個MOSFET的對稱結構,使其能夠在雙向導通時降低損耗,并在關斷時完全阻斷電流,從而實現高效、安全的雙向控制。 |