PN結二極管經常用來制作電開關。在正偏狀態,即開態,很小的外加電壓就能產生較大的電流;在反偏狀態,即關態,只有很小的電流存在于PN結內。
我們感興趣的開關電路參數就是電路的開關速度。下面的內容會定性地討論二極管的開關瞬態以及電荷的存儲效應。在不經任何數學推導的情況下,簡單給出描述開關時間的表達式。
二極管的作用
利用二極管正、反向電流相差懸殊這一特性,可以把二極管作開關使用。

當開關K打向A時,二極管處于正向,電流很大,相當于接有負載的外回路與電源相連的開關閉合,回路處于接通狀態(開態);
當開關K打向B時,二極管處于反向,反向電流很小,相當于外回路的開關斷開,回路處于斷開狀態(關態)。

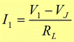
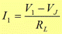
V1為外加電源電壓,VJ為二極管的正向壓降,對硅管VJ約為0.7V,鍺管VJ約為0.25V,RL為負載電阻。
在開態時,流過負載的穩態電流為I1:

通常VJ遠小于V1,所以上式可近似寫為:

在關態時,流過負載的電流就是二極管的反向電流IR。

假設外加脈沖的波形如圖(a)所示,則流過二極管的電流就如圖(b)所示。

接通過程中,二極管P區向N區輸運大量空穴,N區向P區輸運大量電子。隨著時間的延長,N區內空穴和P區內電子不斷增加,直到穩態時停止。在穩態時,流入N區的空穴正好與N區內復合掉的空穴數目相等,流入P區的電子也正好與P區內復合掉的電子數目相等,達到動態平衡,流過P-N結的電流為一常數I1。
隨著勢壘區邊界上的空穴和電子密度的增加,P-N結上的電壓逐步上升,在穩態即為VJ。此時,二極管就工作在導通狀態。
當某一時刻在外電路上加的正脈沖跳變為負脈沖時:
正向時積累在各區的大量少子要被反向偏置電壓拉回到原來的區域,開始時的瞬間,流過P-N結的反向電流很大,經過一段時間后,原本積累的載流子一部分通過復合,一部分被拉回原來的區域,反向電流才恢復到正常情況下的反向漏電流值IR。
正向導通時少數載流子積累的現象稱為電荷儲存效應。二極管的反向恢復過程就是由于電荷儲存所引起的。反向電流保持不變的這段時間就稱為儲存時間ts。在ts之后,P-N結上的電流到達反向飽和電流IR,P-N結達到平衡。定義流過P-N結的反向電流由I2下降到0.1 I2時所需的時間為下降時間tf。儲存時間和下降時間之和為(ts+tf)稱為P-N結的關斷時間(即為反向恢復時間)。
反向恢復時間限制了二極管的開關速度:
如果脈沖持續時間比二極管反向恢復時間長得多,這時負脈沖能使二極管徹底關斷,起到良好的開關作用;
如果脈沖持續時間和二極管的反向恢復時間差不多甚至更短的話,這時由于反向恢復過程的影響,負脈沖不能使二極管關斷。
所以要保持良好的開關作用,脈沖持續時間不能太短,也就意味著脈沖的重復頻率不能太高,這就限制了開關的速度。 |